Упр.94 ГДЗ Алимов 10-11 класс (Алгебра)
Решение #1
Решение #2

Рассмотрим вариант решения задания из учебника Алимов, Колягин, Ткачёва 10 класс, Просвещение:
94. Вычислить:
1) 48^0, 10^-2, (2/3)^-1, (0,3)^-3, (-1,2)^-2, (2*1/4)^-2;
2) корень 3 степени 27, корень 4 степени 81, корень 5 степени 32, корень 6 степени 8^2, корень 8 степени 16^2, корень 3 степени 27^2;
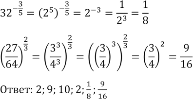
3) 8^1/3, 27^2/3, 10 000^1/4, 32^2/5, 32^-3/5, (27/64)2/3.
*размещая тексты в комментариях ниже, вы автоматически соглашаетесь с пользовательским соглашением