Упр.92 ГДЗ Алимов 10-11 класс (Алгебра)
Решение #1
Решение #2

Рассмотрим вариант решения задания из учебника Алимов, Колягин, Ткачёва 10 класс, Просвещение:
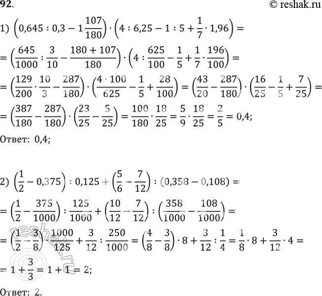
92. Вычислить:
1) (0,645 : 0,3 - 1* 107/180) * (4:6,25 - 1: 5 + 1/7*1,96;
2) (1/2 -0,374): 0,125 + (5/6 -7/12): (0, 358 - 0,108).
*размещая тексты в комментариях ниже, вы автоматически соглашаетесь с пользовательским соглашением