Упр.881 ГДЗ Алимов 10-11 класс (Алгебра)

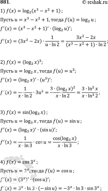
Решение #1

Изображение Упр.881 ГДЗ Алимов 10-11 класс

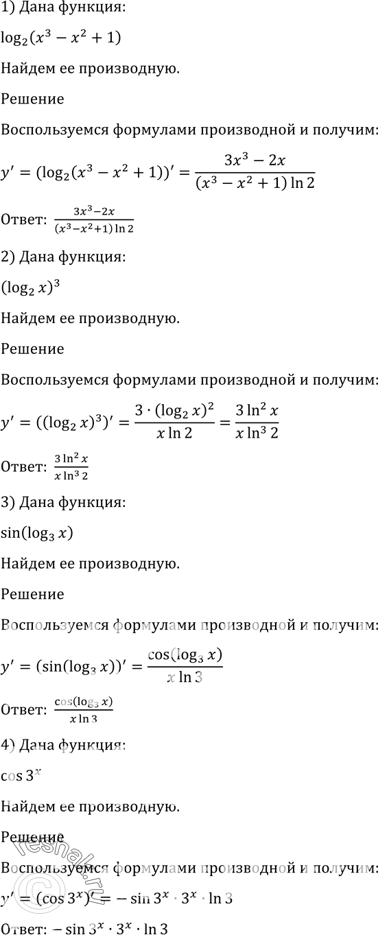
Решение #2

Изображение Упр.881 ГДЗ Алимов 10-11 класс
Загрузка...

Рассмотрим вариант решения задания из учебника Алимов, Колягин, Ткачёва 11 класс, Просвещение:
881 1) log2 (x3 - x2 + 1);
2) (log2 x)3;
3) sin (log3 x);
4) cos 3x.
*Цитирирование задания со ссылкой на учебник производится исключительно в учебных целях для лучшего понимания разбора решения задания.
*размещая тексты в комментариях ниже, вы автоматически соглашаетесь с пользовательским соглашением