Упр.20.39 ГДЗ Мордкович 7 класс (Алгебра)
Решение #1

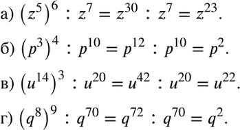
Рассмотрим вариант решения задания из учебника Мордкович, Александрова 7 класс, Мнемозина:
а) (z5)6 : z7;
б) (р3)4 : р10;
в) (u14)3 : u20;
г) (q8)9 : q70.
*размещая тексты в комментариях ниже, вы автоматически соглашаетесь с пользовательским соглашением